金年会|金年会·jinnian(金字招牌)诚信至上
欢迎到访金年会jinnian!
集团首页
|
网站首页
关于我们
关于我们
现任领导
机构设置
教学单位
科研单位
管理部门
学术机构
联系我们
团队力量
团队概况
教师列表
管理人员
建筑工程系
岩土与地下工程系
工程管理系
给排水科学与工程系
建筑环境与能源工程系
道路桥梁与渡河工程系
测绘工程系
水利水电工程系
实验中心
名师风采
旗下产业
专业介绍
课程建设
教学成果
工程认证
集团公司教学管理
下载中心
研究生教育
硕士点简介
博士点简介
博士后简介
导师队伍
研究生招生
管理文件
科学研究
科研团队
科研平台
科研成果
学术交流
实验室建设
员工工作
就业指导
团学工作
奖助工作
制度文件
党建工会
争优创先
党员风采
工会活动
员工之窗
员工之窗
首页
关于我们
关于我们
现任领导
机构设置
教学单位
科研单位
管理部门
学术机构
联系我们
团队力量
团队概况
教师列表
管理人员
建筑工程系
岩土与地下工程系
工程管理系
给排水科学与工程系
建筑环境与能源工程系
道路桥梁与渡河工程系
测绘工程系
水利水电工程系
实验中心
名师风采
旗下产业
专业介绍
课程建设
教学成果
工程认证
集团公司教学管理
下载中心
研究生教育
硕士点简介
博士点简介
博士后简介
导师队伍
研究生招生
管理文件
科学研究
科研团队
科研平台
科研成果
学术交流
实验室建设
员工工作
就业指导
团学工作
奖助工作
制度文件
党建工会
争优创先
党员风采
工会活动
员工之窗
员工之窗
科研成果
科研团队
|
科研平台
|
科研成果
|
学术交流
|
实验室建设
|
当前位置:
网站首页
>
科学研究
>
科研成果
>
正文
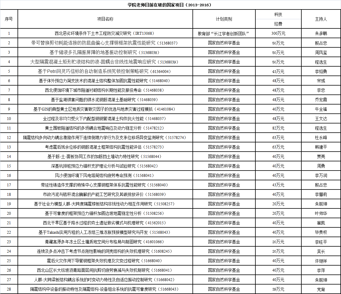
目前在研的国家项目(2013-2016)
上一篇:完成的纵向研究项目和重大工程研究项目
下一篇:近几年公司承担的主要纵向科研项目